
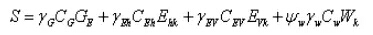
根据抗震设计规范,进行结构抗震设计时,结构构件的地震作用效应和其他荷载效应组合的设计值,应按照下式进行:

这个公式涉及许多参数,看起来比较抽象,尤其是工程计算软件的普及,已经让工程师忘记在工程设计中应该如何选择其中合理的参数数值,以及选择的依据。今天我们就来剖析一下这个公式的意义。
1.S为荷载效应的组合值
首先,理解什么是荷载效应。我们在计算中,通常要验算结构的内力和变形,内力和变形就是所谓的荷载效应。
2.γ_G为重力荷载分项系数
根据抗震条文规定,此分项系数一般情况下采用1.2,当重力荷载效应对构件承载力有利时,可采用1.0。
首先,我们要明确什么是荷载的分项系数。
荷载的分项系数,是反映荷载的不确定性并与结构可靠度概念相关联的一个系数。我们知道,荷载的标准值,是指在结构的设计基准期内,满足一定概率的情况下,在正常情况下可能出现的最大荷载值。
考虑到实际工程中,实际荷载还是有可能超过统计的标准值情况,所以需要对标准值乘以一个分项系数,荷载的标准值与分项系数的乘积,即为荷载的设计值。荷载的不确定性越大,分项系数的取值越大,因此活荷载的分项系数要大于重力荷载的分项系数。
第二,荷载总是会对结构产生内力,因此荷载给人的直觉应该总是不利的,为何规范中还规定“当重力荷载效应对构件承载力有利时,重力荷载分项系数可采用1.0”?下面举个例子就理解了。
框架结构在水平荷载作用下的弯矩图,如下图所示。

框架结构在竖向重力荷载作用下,梁的弯矩图如下图所示。

如果我们现在需要组合的荷载效应是梁端弯矩,注意到梁左端,重力荷载作用下的梁左端弯矩为负弯矩,与水平荷载作用下的梁左端弯矩符号正好相反,组合的效果会导致梁左端弯矩降低,因此,对于这样的受力情况,重力荷载效应对构件承载力有利。
3.γ_EH,γ_EV,分别为水平、竖向地震作用分项系数。
按下表取值。

此处水平地震作用的分项系数,根据《建筑结构可靠度设计统一标准》中的方法,将众值烈度下的地震作用视为可变作用而不是偶然作用,确定取值为1.3,竖向地震作用的分项系数参考水平地震作用设为1.3。
当竖向与水平同时考虑时,根据加速度峰值记录和反应谱的分析,二者的组合比为1:0.4,故γ_EH=1.3,γ_EV=0.4*1.3≈0.5.
4.γ_w:风荷载分项系数,采用1.4。
5. G_E:重力荷载代表值
注意应该是恒载和活载的组合值。
6.E_EH和E_EV:分别水平、竖向地震作用的标准值。
7.w_k:风荷载标准值
8.ψ_w:风荷载组合系数,一般结构可取0,高层建筑和高耸结构可采用0.2。
首先,需要理解组合系数的含义。荷载组合系数所考虑的因素是,对于两种以上的可变荷载进行效应组合时,考虑到几种可变荷载同时达到最大值的可能性极低,因此 乘以一个组合系数,对效应进行折减。历次地震表明,大地震发生时,似乎都是风平浪静,因此考虑地震作用后,通常不再考虑风荷载效应,但是对于高层建筑,由于风荷载还是一个主要的控制荷载,因此地震作用效应的基础上仍要加上20%的风荷载效应。
9.C_G,C_Eh, C_EV,Cw, 这些分别为重力荷载、水平地震作用、竖向地震作用和风荷载的作用效应系数。
此处只需理解作用效应系数的含义即可,作用效应系数可以理解为一个传递函数,我们知道了荷载,需要对结构内力或变形进行验算,通过荷载效应系数,可以通过荷载得出所需要验算的内力或是变形。
原文链接http://www.shhorse.com/Article/jxdzzydxyyq_1.html
(本文来源于网络,悍马加固整理报道,如有侵权,请联系删除。另,转载请注明出处,否则后果自负。)








