
粘钢和粘贴碳纤维布加固都是我们常见的加固方法,两者有诸多相似之处,今天,小悍就跟大家一块讨论一下两者对提高结构承载力的影响。
首先,粘钢和粘碳纤维布加固原理相似
粘钢和粘贴碳纤维布加固原理相似,两者都是粘贴作业,都是通过环氧结构胶粘剂将碳纤维布或钢板粘贴在原构件表面,使新老构件形成一个整体共同受力,从而提高结构的承载力。
其次,粘钢和粘碳纤维布加固应符合下列具体规定
采用粘钢和粘贴碳纤维布加固时,除应符合正截面承载力的基本假定外,尚应符合下列规定:
1.当考虑二次受力影响时,应按构件加固的受力初始情况,确定钢板或碳纤维材料的滞后应变。
2.在达到受弯承载能力极限状态前,外粘钢板或碳纤维材料均不能与混凝土之间出现粘结剥离破坏。
3.钢筋混凝土结构构件被加固后,其正截面受弯承载力的提高幅度,不应超过40%,并应验算其受剪承载力,避免受弯承载力提高后而导致构件受剪破坏先于受弯破坏。
4.粘钢和粘贴碳纤维布的加固量,应视具体情况而定,切不宜超过限定值。
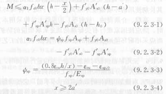
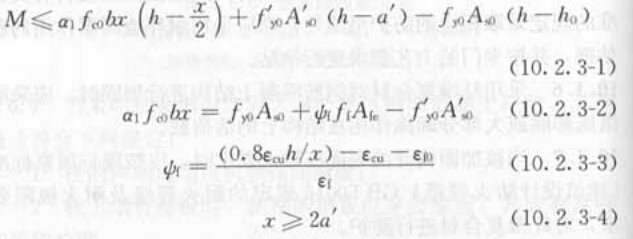
而后,粘钢和粘碳纤维布加固,其正截面承载力应如此计算
1.从设计方面来说,在矩形截面受弯构件的受拉面和受压面进行粘贴钢板或粘贴碳纤维布加固时,其正截面承载力应符合下列规定:

2.在矩形截面受弯构件的受拉边混凝土表面上粘贴纤维复合材进行加固时,其正截面承载力应符合下列规定:

最后,粘钢和粘贴碳纤维布加固并不能无限提高结构承载力
为了控制加固后构件的裂缝宽度和变形,也是为了强调“强剪弱弯”设计原则的重要性,国家规范对粘钢加固和粘贴碳纤维布加固提高结构承载力作出限定。在粘钢加固中,粘钢胶的选择也非常重要,一般会采用悍马环氧树脂粘钢胶做粘钢加固。
由此可见,粘钢和粘碳纤维布加固方法并不能无限提高建筑物的承载力。因此,为了充分保证结构的安全性,在对建筑物进行加固处理前,加固方必须按照混凝土结构加固原则对建筑物进行结构鉴定,再依据鉴定结果选择合理的加固方案。一切,都是为了结构安全。
原文链接http://www.shhorse.com/Article/zghzttdxwbd_1.html
(本文系悍马加固材料原创,转载请注明出处,并于本人联系,如有侵权,后果自负。)
最新产品
同类文章排行
- 港珠澳大桥:世界级超级工程背后的故事
- 二战以来新加坡特大倒塌灾难 背后缘由引人深思
- ATM取现政策调整 2016各大银行新政策调整一览表
- 让文革新贵王洪文发迹的国棉十七厂,后来怎么样了?
- 现有规范对植筋锚固深度过于严苛?
最新资讯文章
您的浏览历史








