悍马加固为您解析:粘钢加固和碳纤维加固那个好呢?该如何选择?在之前的文章中,我们多次谈到粘钢加固与粘贴碳纤维布加固都可以提高原有建筑结构的承载力,但这两种方法对建筑承载力的提升效果如何,我们就不得而知。小悍通过查阅整理相关的技术资料,将粘钢加固与碳纤维布加固与大家进行分享,希望对大家会有所帮助。
碳纤维布 vs 粘钢加固
加固原理
粘钢和粘贴碳纤维布加固法其加固原理基本相同,都是通过结构胶粘剂将薄钢板和碳纤维材料粘贴在原构件表面,使之成为一个整体共同受力提高原有构件的承载力
简支梁底部粘贴钢板或粘贴碳纤维布
一、两种方法加固应符合的基本规定:
1、在达到受弯承载能力极限状态前,外粘钢板或碳纤维材料均不能与混凝土之间出现粘结剥离破坏。
2、考虑二次受力影响时,应按构件加固的受力初始情况,确定钢板或碳纤维材料的滞后应变。
粘钢施工图
设计计算
从设计方面来说,在矩形截面受弯构件的受拉面和受压面进行粘贴钢板加固时,其正截面承载力应符合下列规定:

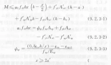
站钢正截面承载力计算公式

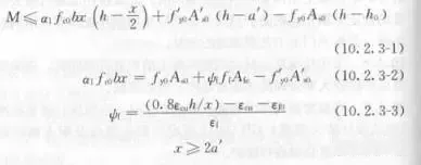
粘碳纤维布正截面承载力计算公式
施工技术
从施工方面来说,粘钢或粘贴碳纤维布的厚度不宜太厚。对于粘钢来说,其粘贴钢板的加固量对受拉区和受压区,分别不应超过3层和4层,并且要保证钢板的总厚度不应超过10mm;粘贴碳纤维布的加固量对于预成型板来说,不应超过2层,对湿法铺层的织物不宜超过4层。超过4层时,则应考虑采用碳纤维板进行加固,并采取可靠的加强锚固措施,确保结构安全。
小结
钢筋混凝土结构构件采用粘钢或粘贴碳纤维布加固时,其正截面的受弯承载能力提高幅度,不应超过40%,并应验算其受剪承载力,避免因受弯承载力提高后而导致构件受剪破坏先于受弯破坏;其目的是为了控制加固后构件的裂缝宽度和变形,也是为了强调“强剪弱弯”设计原则的重要性。
由此看来,粘钢和粘碳纤维布加固方法并不能无限提高建筑物的承载力,在对建筑物进行加固处理时,我们必须按照混凝土结构加固原则对建筑物进行结构鉴定并依据鉴定结果选择合理的加固方案,确保结构安全。以上是关于粘钢加固和碳纤维加固的相关介绍,相信通过小悍的介绍,大家已经有了一定了解,大家也可以通过拨打我们热线4000126012 ,了解相关技术问题。
本文链接:http://www.shhorse.com/Article/zgjghtxwjg_1.html
最新产品
同类文章排行
- 《混凝土结构加固设计规范》(GB50367-2013完整版)
- 《建筑结构加固工程施工质量验收规范》GB 50550-2010完整版
- 《工程结构加固材料安全性鉴定技术规范》GB50728-2011完整版
- 《建筑设计防火规范》GB50016-2014(2018版)悍马加固材料
- 《建筑设计防火规范》GB50016-2014局部修订条文-悍马加固材料
最新资讯文章
您的浏览历史








