很多人买房子的时候都会说这个房子「抗震」,那个房子不「抗震」。房子抗震的前提,当然是结构工程师在设计它的时候合理的考虑了抗震要求。那什么才叫满足抗震要求呢?或者说,结构工程师是怎么确定房子能不能抗震呢?设计房子的时候,需要考虑多大的地震力呢?
最简单的情况是一层房子,比如说,我们有下面这个一层的小房子,那设计这个小房子的时候需要考虑多大的地震力呢?

首先,我们要知道两个数据:房子的质量和房子的刚度。质量好理解,就是房子有多重,比如我们这个一层的小房子重300吨,也就是300000千克。刚度比较复杂一点,我们这个小房子的刚度是200千牛每毫米,什么意思呢?意思就是如果我拿一个变形金刚那么大的千斤顶来顶这个房子的房顶,当施加到200千牛的推力的时候,房子的房顶刚好侧移1毫米。

刚度跟什么有关系呢?简单说,柱子越多,柱子越粗,就越难推动这个房子,所以刚度就越大。反过来,柱子越少,柱子越细,就容易被推动,刚度也就越小。另外呢,刚度还跟高度有关系,同样的柱子数量,同样的柱子粗细,一个房子比较高,相对就高瘦一些,下盘也就不那么稳了,刚度也就小一些,另一个房子比较矮,又矮又胖,这就难推动了,刚度也就会大一些。
确定了这两个之后呢?接下来就是计算它的自振周期。

这个小房子的自振周期是0.243秒。什么意思呢?大家都听说过军队齐步走过桥把桥振塌的小故事,原因就是齐步走的频率刚好贴近这座桥的自振频率,进而引发了共振。我们的小房子自振周期是0.243秒,也就是说,如果一群人站在房子边上一起推房子,大家动作一致,每0.243秒推一下,那这小房子就会产生共振,大家也就一块儿作死了。
然后呢,我们需要知道这个房子所在场地的有关地震信息。简单说,同样的房子,是建在汶川、唐山,还是建在济南、上海,需要考虑的地震力完全不同。在我们的这个小例子里,假设这个小房子建在汶川,那么就是8度设防,第一组。
都是在汶川,是建在软泥地里,还是建在硬石头上,抑或是建在普通土壤上,这些也会影响地震作用。到底属于哪种,如何考虑,我们需要地质工程师提供这块场地的相关地质资料。我们的这个小例子里,地质工程师告诉我们这块场地属于普通土壤,或者说,场地类别属于第III类。
知道了8度,第一组,第III类这些信息,我们再拿出我们的国家抗震规范,就能确定我们这个场地的反应谱了。
查表!结构工程师必备技能!

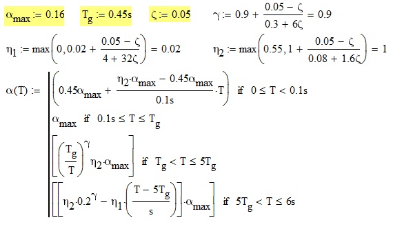
也就是说,我们的最大地震影响系数最大值是0.16,场地特征周期是0.45秒。
这些数据有什么用呢?根据规范里的公式,我们就能得到这块场地的反应谱了。这个过程比较复杂,简单说,就是根据我们上面的这些数值,对于我们这块场地,对于我们这个小房子,我们就得到了一个反应谱。同样的房子,不同的场地,反应谱也不一样。对于建筑结构设计,每一个房子,都有属于自己的反应谱。
我们的这个小房子,反应谱是这样算的:

所用到的三个基本参数就是我们上面得到的最大地震影响系数0.16、特征周期0.45和阻尼比0.05。阻尼比是建筑结构的固有特性,一般的房子我们可以取0.05,带有阻尼器啊、屈曲支撑啊这些特殊部件的房子,我们需要额外考虑不同的阻尼比。我们的小房子没有这些东西,所以取0.05。
这个反应谱其实得出的是一个地震影响系数α和周期T之间的关系,α和T之间的函数图象是这样的:

这又有什么用呢?我们上面已经知道了,我们这个小房子的自振周期是0.243秒。0.243秒对应什么呢?

当横坐标 T 等于0.243秒的时候,纵坐标α等于0.16,也就是说,我们这个房子的地震影响系数就是0.16。
这又有什么用呢?我们房子的质量是300吨,乘以9.8的重力加速度,相当于重力为2942千牛。我们的地震力呢?就等于2942千牛乘以这个0.16,也就是471千牛。

这也就是我们设计的时候所需要考虑的地震力,地震来了,就相当于有471千牛的力在推房顶。换言之,我所有的柱子加起来,要足以抵抗这471千牛的力。否则的话,柱子不够结实,这471千牛的力加上来,柱子就折断了,房子也就塌了。
如果柱子不够多呢?不够结实呢?那就得加粗加多了。但是请注意,柱子加粗加多之后,刚度就变了,不再是200千牛每毫米了。有了新的刚度值,以上的过程就需要从头再来一遍,得到一个新的地震力,再去比较新的设计里这些柱子够不够结实。如果还不行,继续修改,继续尝试,直到满足为止。
我们再来看一下刚度的概念,施加200千牛的力,房顶侧移1毫米。现在我已经知道,地震的时候,相当于施加了471千牛的力,成比例放大,471是200的2.354倍,那我现在的位移就是2.354毫米。也就是说,近似理解,在地震的时候,房顶会被地震来回晃动 2.354 毫米。

地震下的位移也是一个很重要的指标,如果位移过大,很可能房子就被晃散架了。对于一般的框架结构,规范的限值是550分之一。假设我们这个房子的高度是3米,那么550分之一就是5.455毫米。

我们的小房子在地震下的位移值是2.354毫米,小于规范要求的5.455毫米,所以是满足要求的。如果不满足要求,还是柱子得加多加粗,以上全部过程从头再来。
以上就是最最简单的地震力确定过程。如果不是一层的小房子,而是三层的房子呢?八十层的呢?为什么这个过程看上去不怎么精确呢?有没有什么更好的方法?请看第二部分http://www.shhorse.com/Article/dzlrhdjs_1.html。
原文链接http://www.shhorse.com/Article/dzlrhjssy_1.html
(本文来源于网络,悍马加固整理报道,如有侵权,请联系删除。另,转载请注明出处,否则后果自负。)








